Contributed by:
Adam R. Johnson
Professor of Chemistry
Harvey Mudd College
Claremont, CA, USA.
The hydroamination reaction is the addition of an N-H bond across the unsaturated C=C or C≡C bond of an alkene, allene, or alkyne. The reaction is closely related to hydrozirconation. This is a highly atom economical (green) method of preparing substituted and/or cyclic amines that are attractive targets for organic synthesis and the pharmaceutical industry.

The hydroamination reaction is approximately thermodynamically neutral, but there is a high activation barrier due to the repulsion of the electron-rich substrate and the amine nucleophile. The hydroamination of alkynes is more thermodynamically favored than that of olefins, while allenes are intermediate in difficulty. The reaction has a high negative entropy (for the intermolecular reaction), making it unfavorable at high temperatures. As a result, catalysts are necessary for this reaction to proceed. Catalysts for the reaction include alkali metal bases, early and late transition metal complexes, gold, and lanthanide complexes. The field of hydroamination is evolving rapidly and has been reviewed regularly.1-7
Titanocene (a cyclopentadiene complex) imido complexes (Cp2Ti=NR) react with alkenes or alkynes to undergo a reversible [2+2] cycloaddition to form the corresponding azametallacyclobutane or -butene. This mechanistic step is very similar to that observed in olefin metathesis. Subsequent protonolysis by the next equivalent of incoming amine releases the product and regenerates the imido. It is believed that most other early transition metal catalyzed hydroamination reactions occur by this or a similar mechanism.

Lanthanide metal and cationic group IV metal catalysts react similarly. First a neutral or cationic amido complex forms which then undergoes a 1,2-insertion reaction on the unsaturated carbon-carbon bond to form a metal alkyl complex. The second part of the mechanism is similar to that described previously: addition of a second equivalent of amine substrate leads to protonolysis of the alkyl and regeneration of the amido complex.

In contrast, late metal catalyzed hydroamination involves either activation of the amine group by the metal to form a hydrido-amido complex with subsequent reactions taking place at either the metal hydride or metal-nitrogen bond, or by activation of the unsaturated group by coordination to yield a more electrophilic group ready for nucleophilic substitution by an incoming amine.
Computational studies have helped to confirm and elaborate upon the basic mechanistic pictures described here.8-11
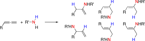
The intermolecular hydroamination reaction of an amine with an unsymmetrical olefin or alkyne can lead to either the Markovnikov or anti-Markovnikov product. In the reaction with the alkyne, tautomerizaion occurs after hydroamination to yield the observed products. An important area of research is the development of catalysts that preferentially form one of the two possible products selectively.

The intermolecular reaction with an unsymmetrical allene can yield many products; as a result, most hydroamination with allene substrates has been carried out in an intramolecular fashion. Often, the substrates for the olefin cyclizations require gem-dialkyl substitution which encourages preorganization via either a compression of the bond angle (the Thorpe-Ingold effect) or raising the energy of the ground state (the "reactive rotamer" effect.)

Intramolecular hydroamination results in cyclic products, as illustrated for the hydroamination-cyclization of an aminoolefin substrate with gem-dialkyl substituents.

As shown above, the cyclization of aminoalkene or -allene substrates results in the formation of a chiral nitrogen heterocycle with a pendant alkyl chain. The first example of asymmetric hydroamination was reported for the cyclization of aminoolefins using a chiral lanthanide catalyst, with enantioselectivities up to 74 %ee.12 There has been much effort towards the further development of the asymmetric reaction. Group IV alkyl complexes with chelating bis-amidate ligands catalyze the intramolecular hydroamination/cyclization of aminoalkenes, with enantioselectivities above 90 %ee.13,14
The intramolecular hydroamination of aminoallenes is potentially even more interesting, as the products are nitrogen containing heterocycles with a pendant vinyl group available for further reaction chemistry. Titanium amides, such as Ti(NMe2)4, are catalysts for the cyclization of the aminoallene to give the pyrrolidine products shown. The reaction is substrate dependent; when substrate 1a is used, only compound 2a is observed, while when 1c is used, only 3c is observed. Hydroamination of substrate 1b leads to a mixture of 2b and 3b (obtained as a mixture of cis and trans isomers). When chiral ligands are used, the product (3b and 3c,) can be obtained with an enantioselectivity of about 15%.15

Progress on the asymmetric cyclization of aminoallenes has focused on the use of gold complexes with bulky chiral phosphine complexes, resulting in high enantioselectivities (70-90 %ee).16-18
THESE QUIZZES ARE NOT CURRENTLY WORKING - We moved to a new server platform in September 2025 and I have to go back and redo the coding that drives the grading. Stay tuned...
Instructors: To submit additional self-test questions, email me - RT.
| Researcher | Location | Amination interests |
|---|---|---|
| Adam Johnson | Harvey Mudd College | Organometallic chemistry and asymmetric catalysis |
| Aaron Odom | Michigan State | Organic methodology and drug discovery |
| Laurel Schafer | University of British Columbia | Group 4 hydroamination catalysts |
| Ross Widenhoefer | Duke University | Au-catalyzed olefin hydroamination and hydroalkoxylation |
| John Hartwig | University of California at Berkeley | Metal-catalyzed olefin hydroamination |
| Kai Carsten Hultzsch | University of Vienna | Hydrofunctionalizations of Alkenes |
| Tobin Marks | Northwestern University | Organo-f-element Hydroelementation |
This list is not exhaustive and any omissions of current researchers is simply an oversight. Contact us to add additional research groups.